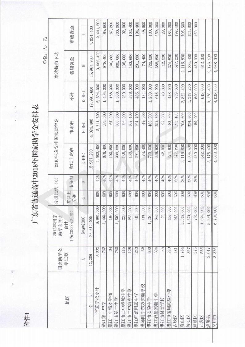
湛财教【2017】202号 关于提前下达2018年普通高中国家助学金的通知
发布人: 日期:2017-12-31 00:00浏览次数:13511点赞次数:5
湛江开大,湛江开放大学,湛江市财政职业技术学校,湛江市广播电视大学,湛江电大,中专教育,中职教育,成人教育,成人大专,成人本科,官网,教育部电子注册,国际学历绿卡。湛江开放大学(湛江市广播电视大学)办学三十年来...




相关文章
- 助学政策
- 关于开展2017年秋季学期市直属中职学校资助政策落实情况检查的通知
- 关于广东省家庭经济困难学生认定工作指导意见
- 广东省家庭经济困难学生认定工作指导意见的通知
- 毕业证
- (教助中心[2018]12号)关于印发《2018年全国学生资助年度工作会议纪要》的通知
- (教助中心[2018]25号)关于印发陈宝生同志《进一步加强学生资助工作》一文的通知
- 【市教育局】湛扶组〔2017〕33号 关于抓紧做好迎接2017年省扶贫开发工作成效考核有关工作的通知
- 粤教助办函[2017]64号广东省教育厅办公室关于报送2017年我省建档立卡等家庭经济困难学生人数的通知
- 粤教助办函[2018]13号广东省教育厅办公室关于征集中职学生资助规范管理典型案例的通知
